^
Top
Org. Synth. 2018, 95, 439-454
DOI: 10.15227/orgsyn.095.0439
Discussion Addendum for: Preparation of (S)-tert-ButylPHOX and (S)-2-Allyl-2-Methylcyclohexanone
Alexander W. Sun and Brian M. Stoltz*1
Discussion
Phosphinooxazoline (PHOX) ligands, originally developed by Pfaltz, Helmchen, and Williams,2,3,4 comprise a privileged class of P,N type ligands with extensive applications in various transition-metal catalyzed processes, including allylic alkylations, Heck-type reactions, and catalytic hydrogenation.5,6 The PHOX ligand class is highly modular and has grown to encompass numerous structural variations, of which only a few major classes are shown in Figure 1. Every component of the ligand scaffold is modifiable as exemplified by R1 variations on the oxazoline ring (1, 2), substitution of the aryl rings with perfluoroalkyl groups (2) or ferrocenyl systems (3), and various alkyl and spirocyclic7 linkers joining the oxazoline ring to the phosphine backbone (4a-b).6
v95p0439-1.gif
Figure 1. Phosphinooxazoline (PHOX) ligands are highly modular
The substituted tri-aryl PHOX ligands 1 are of particular interest to our laboratory. Since our 2009 Organic Syntheses articles, which described an optimized route to the valuable PHOX ligand (S)-t-BuPHOX 1a and its use in a Pd-catalyzed decarboxylative allylic alkylation reaction toward the synthesis of (S)-2-allyl-2-methylcyclohexanone,8,9 electronic and steric modifications to the scaffold of 1a have found increasing traction in the literature.10,11,12 In particular, electron-deficient counterparts such as (S)-(CF3)3-t-BuPHOX (5), (S)-(CF3)4-t-BuPHOX (6), and (S)-(CF3)4(F)-t-BuPHOX (7), which contain trifluoromethyl groups at strategic positions on the aryl rings, have been uniquely effective and in many cases superior to 1a in various highly enantioselective metal-catalyzed reactions.13,14 These ligands may be synthesized through modified procedures based on our original Organic Syntheses article.8,10,13 This Discussion Addendum highlights recent applications of 1a and its electron-deficient variants 5-7 in total synthesis and reaction development, with an emphasis on decarboxylative asymmetric allylic alkylation reactions.
v95p0439-2.gif
Figure 2. Electron-deficient variants of (S)-t-BuPHOX
PHOX Ligands in Reaction Development
Aside from their common use in various asymmetric allylic allylation-type reactions,15,16,17 PHOX ligands 1a and 5-7 have recently been utilized in diverse transformations including sigmatropic rearrangements,18 hydroarylation reactions,19 carboaminations,20 asymmetric alkylations and protonations,21,22 and cascade reactions.23 The chemical motifs produced by these PHOX-catalyzed reactions are often found in biologically active small molecules and can also serve as synthetically valuable intermediates. For instance in 2012, Kozlowski presented a rare example of a catalytic enantioselective Saucy-Marbet Claisen rearrangement using 1a to effect the transformation of propargyl ethers 8 into allenyl oxindoles 9 (Scheme 1).18 However, 1a was effective only for a subset of aryl-substituted alkyne substrates.
v95p0439-3.gif
Scheme 1. Synthesis of quaternary allenyl indoles using an enantioselective Saucy-Marbet Claisen rearrangement
Later in 2015, 1a was also utilized by Wolfe in a Pd-catalyzed alkene carboamination reaction involving allylphenyltriflates 10 and aliphatic amines to generate chiral aminoindanes 11, a motif that appears in a variety of pharmacologically active molecules (Scheme 2).20 Interestingly, the crucial aminopalladation step consists of an intermolecular reaction.
v95p0439-4.gif
Scheme 2. Synthesis of aminoindanes via alkene carboamination
In 2017, Zhu used 1a and a stoichiometric amount of tetrahydroxy diboron-water as the hydride donor to effect an asymmetric intramolecular reductive Heck reaction of N-aryl acrylamides 12 to give 3,3-disubstituted oxindoles 13 (Scheme 3).19 Notably, the choice of ligand affected the reaction pathway: whereas PPh3 led to carboboration products, 1a gave the desired hydroarylation product 13.
v95p0439-5.gif
Scheme 3. Synthesis of quaternary oxindoles via asymmetric intramolecular reductive Heck reaction
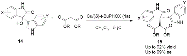
Recently, in an elegant extension of our work on asymmetric alkylation of 3-halooxindoles,24 Bisai and co-workers disclosed the use of a Cu-1a catalyst to effect malonate addition onto 3-hydroxy 3-indolyl-2-oxindoles 14 (Scheme 4).21 It is thought that the copper catalyst facilitates a stereoablative elimination of water, followed by asymmetric addition of the malonate.
v95p0439-6.gif
Scheme 4. Synthesis of quaternary dimeric oxindoles by malonate addition onto 3-hydroxy-2-oxindoles
Lam discovered that a Nickel-PHOX catalyst comprised of 1a or (S)-PhPHOX effectively catalyzed the coupling of alkynyl malonate esters 16 with arylboronic esters in a desymmetrizing arylative cyclization (Scheme 5).23 The resulting cyclopentenone products 17 contain a synthetically challenging fully substituted olefin and a chiral quaternary center.
v95p0439-7.gif
Scheme 5. Synthesis of chiral cyclopentenones via nickel-catalyzed desymmetrization of alkynyl malonate esters with arylboronic acids
With regard to allylic alkylation-type reactions, 1a and its electron deficient counterparts 5-7 have found extensive applications: After our initial reports on asymmetric decarboxylative protonation,25,26 the Guiry group has continued to expand the scope and understanding of this reaction. In one example in 2017, they utilized (S)-(CF3)3-t-BuPHOX (5) to enable the enantioselective synthesis of tertiary α-arylated indanones 19 (Scheme 6).27
v95p0439-8.gif
Scheme 6. Synthesis of chiral tertiary α-aryl indanones using decarboxylative protonation
In 2017, Malcolmson introduced a method to synthesize chiral allylic amines 21 through the intermolecular addition of aliphatic amines to acyclic 1,3-dienes 20 (Scheme 7).15 Here, the electron deficient PHOX ligand 6 was critical in achieving high regioselectivity for the desired 1,2-hydroamination product.
v95p0439-9.gif
Scheme 7. Synthesis of allylic amines via diene hydroamination
Recently, You employed a Pd-7 catalyst in a dearomative formal [3+2] cycloaddition of nitroindoles 22 and epoxybutenes 23 to synthesize chiral quaternary tetrahydrofuroindoles 24 (Scheme 8).14 Notably, the diastereoselectivity of this reaction was affected by the choice of solvent, with toluene and acetonitrile providing differing diastereomers.
v95p0439-10.gif
Scheme 8. Synthesis of tetrahydrofuroindoles via dearomative formal [3+2] cycloaddition of nitroindoles and epoxybutenes
Along with the Trost laboratory and others, our group has pioneered the development of transition metal-catalyzed decarboxylative asymmetric allylic alkylation reactions to generate quaternary stereocenter-containing compounds. Following our initial efforts on cycloalkanone systems using (S)-t-BuPHOX,28,29 we have extended the reaction to a wide range of cyclic substrates important in pharmaceuticals and natural product synthesis (Table 1).30,31,32,33,34,35 This versatile methodology now enables the synthesis of chiral disubstituted carbocycles of ring size four to eight, "Mannich" adducts, and heterocycles. Especially in the case of lactam systems 29-36, the electron deficient ligand 5 was hypothesized to generate a more reactive palladium catalyst and was required to achieve high levels of asymmetry.
Table 1. Chiral α-disubstituted carbocycles and lactams accessible by decarboxylative allylic alkylation
v95p0439-11.gif
Furthermore, in an effort to reduce catalyst loadings to facilitate industrial scale applications, we developed a low-catalyst loading method employing Pd(OAc)2 instead of the usual zero-valent palladium source (Scheme 9).36 With this protocol, catalyst loadings as low as 0.075 mol %, corresponding with turnover numbers (TON) of up to 1320, could be used while still providing yields and ee's up to 99%.
v95p0439-12.gif
Scheme 9. Low-palladium loading protocol for decarboxylative allylic alkylation
Most recently in 2018, we extended the scope of decarboxylative allylic alkylation toward challenging acyclic substrates by reporting the first asymmetric decarboxylative alkylation of fully substituted acyclic enol carbonates to provide linear α-quaternary ketones 38, again employing electronic deficient PHOX ligand 5 (Scheme 10).37,38 Of particular interest, the same enantiomer of product was obtained with comparably high ee regardless of the E/Z ratio of the starting material, suggesting a possible dynamic kinetic enolate equilibration during the reaction.
v95p0439-13.gif
Scheme 10. Synthesis of acyclic α-quaternary ketones using decarboxylative alkylation

PHOX ligands in Natural Product Synthesis

As a testament to the versatility of allylic alkylation-type reactions, recent total syntheses that utilize PHOX ligands do so heavily in the context of transition-metal catalyzed allylic alkylations and protonations. For instance, in Takemoto's 2014 synthesis of the tricyclic alkaloid (-)-aurantioclavine (39), 1a was used in an intramolecular allylic amination of allyl carbonate 37 to generate an unusual seven-membered azepane 38 (Scheme 11).39
v95p0439-14.gif
Scheme 11. Total synthesis of (-)-aurantioclavine via allylic amination
Similarly, in 2012 and 2014, we used a series of powerful allylic alkylations to intercept chiral gem-disubstituted cyclic intermediates 41, 44, and 47 en route to the formal syntheses of seven natural products including (-)-thujopsene (42), (-)-quinic acid (45), and (+)-rhazinilam (48) (Scheme 12).33,40
v95p0439-15.gif
Scheme 12. Formal syntheses of diverse natural products via allylic alkylation
Decarboxylative protonation has also found utility in natural product synthesis. In route to a 2014 catalytic enantioselective formal synthesis of the hexacyclic caged indole alkaloid (-)-aspidofractinine (51), Shao used 1a in an enantioselective decarboxylative protonation reaction to forge C3-monosubstitutions on medicinally important carbazolone heterocycles 50 (Scheme 13).41 Later in 2017, Robinson and co-workers also used 1a in a decarboxylative protonation protocol to make α-substituted ketone 53, which was then divergently advanced toward the spirocyclic marine alkaloids (-)-fasicularin (54) and (-)-lepadiformine (55).42
v95p0439-16.gif
Scheme 13. Total syntheses of (-)-aspidofractinine, (-)-lepadiformine, and (-)-fasicularin using decarboxylative protonation
Most of the remaining recent examples of PHOX ligands 1a and 5-7 in total synthesis have been found in the context of decarboxylative allylic alkylation toward the synthesis of indole alkaloid natural products (Scheme 14).43 For example, vinylogous ether 56, prepared from a (S)-t-BuPHOX (1a)-catalyzed allylic alkylation, can be advanced to (-)-aspidospermidine (57) in a formal total synthesis.40 Similarly, the familiar gem-disubstituted lactam 47 serves as an intermediate in the formal syntheses of (+)-quebrachamine (60) and (-)-vincadifformine (61).40 In 2014, Mukai synthesized the pentacyclic indole (+)-kopsihainanine A (59) utilizing (S)-(CF3)3-t-BuPHOX (5) in a decarboxylative alkylation to generate lactam intermediate 58.44 Notably, (+)-kopsihainanine A was previously independently synthesized by both Shao and Lupton in 2013, who also also utilized decarboxylative alkylation to synthesize a structurally distinct carbazolone intermediate.45,46
v95p0439-17.gif
Scheme 14. Decarboxylative allylic alkylation in the total synthesis of indole alkaloid natural products
In 2016, Zhu accomplished the syntheses of indole alkaloids (-)-rhazinilam (63), (-)-leucomidine B (64), and (+)-leuconodine F (65) via a divergent route from quaternary cyclopentanone 62, which was synthesized via allylic alkylation using ligand 1a.47 Ligand 5 was again utilized to obtain the dihydropyrido[1,2-a]indolone (DHPI) scaffold 66, which was crucial in our 2016 and 2017 total and formal syntheses of five indole alkaloids, (+)-limaspermidine (67), (+)-kopsihainanine (59), (-)-quebrachamine (68), (+)-aspidospermidine (69), and (-)-goniomitine (70).48,49 Most recently, Qin in 2017 leveraged ligand 1a to synthesize the quaternary indole 71, paving the way to a divergent synthesis of five Kopsia indole alkaloids: (-)-fruticosine (72), (+)-methyl chanofruticosinate (73), (-)-isokopsine (74), (-)-kopsine (75), and (-)-kopsanone (76).50
Finally, in 2018 Li and co-workers reported an asymmetric synthesis of the pentacyclic anti-tumor alkaloid (-)-cephalotaxine (79) using decarboxylative alkylation on allyl enol carbonate precursor 77.51 Here, they utilized ligand 5 to attain 78 with high enantioselectivity; in contrast, (S)-t-BuPHOX (1a) provided the desired product in only 80% ee.
v95p0439-18.gif
Scheme 15. Total synthesis of (-)-cephalotaxine

These aforementioned natural product syntheses highlight the impressive synthetic versatility of enantioselective allylic alkylation reactions facilitated by PHOX ligands. Especially in the cases of indole alkaloid syntheses, decarboxylative alkylation was used to synthesize a range of structurally diverse quaternary stereocenter-bearing intermediates, which were advanced toward the desired natural products. Additionally, electron-deficient variants of (S)-t-BuPHOX (1a) such as (S)-(CF3)3-t-BuPHOX (5) have demonstrated superior efficacy in many instances, and are likely to find even wider use in the future, especially toward the synthesis of novel all-carbon quaternary stereocenter-bearing scaffolds using decarboxylative asymmetric allylic alkylation methodologies. The PHOX ligand class has shown extensive versatility in various transition-metal catalyzed asymmetric transformations, thus enabling access to novel and biologically important chemical space. Their modular nature ensures the continual development of new electronically and sterically modified versions with even greater catalytic potential.
References and Notes
  1. Division of Chemistry and Chemical Engineering, California Institute of Technology, Pasadena, California 91125, United States. email: stoltz@caltech.edu. Our research program is supported by the NIH-NIGMS (Grants R01GM080269 to B.M.S., F30GM120836 and T32GM008042 to A.W.S.), and the UCLA-Caltech Medical Scientist Training Program (A.W.S.).
  2. Matt, P. von; Pfaltz, A. Angew. Chem. Int. Ed. 1993, 32, 566-568.
  3. Dawson, G. J.; Frost, C. G.; Williams, J. M. J.; Coote, S. J.; Tetrahedron Lett. 1993, 34, 3149-3150.
  4. Sprinz, J.; Helmchen, G. Tetrahedron Lett. 1993, 34, 1769-1772.
  5. Helmchen, G.; Pfaltz, A. Acc. Chem. Res. 2000, 33, 336-345.
  6. Carroll, M. P.; Guiry, P. J. Chem. Soc. Rev. 2014, 43, 819-833.
  7. Zhu, S.-F.; Xie, J.-B.; Zhang, Y.-Z.; Li, S.; Zhou, Q.-L. J. Am. Chem. Soc. 2006, 128, 12886-12891.
  8. Krout, M. R.; Mohr, J. T.; Stoltz, B. M. Org. Synth. 2009, 86, 181-193.
  9. Mohr, J. T.; Krout, M. R.; Stoltz, B. M. Org. Synth. 2009, 86, 194-211.
  10. Kadunce, N. T.; Reisman, S. E. J. Am. Chem. Soc. 2015, 137, 10480-10483.
  11. Chen, W.; Meng, D.; N'Zemba, B.; Morris, W. J. Org. Lett. 2018, 20, 1265-1268.
  12. Cochran, B.; Henderson, D.; Thullen, S.; Rovis, T. Synlett 2018, 29, 306-309.
  13. McDougal, N. T.; Streuff, J.; Mukherjee, H.; Virgil, S. C.; Stoltz, B. M. Tetrahedron Lett. 2010, 51, 5550-5554.
  14. Cheng, Q.; Zhang, F.; Cai, Y.; Guo, Y.-L.; You, S.-L. Angew. Chem. Int. Ed. 2018, 57, 2134-2138.
  15. Adamson, N. J.; Hull, E.; Malcolmson, S. J. J. Am. Chem. Soc. 2017, 139, 7180-7183.
  16. Adamson, N. J.; Wilbur, K. C. E.; Malcolmson, S. J. J. Am. Chem. Soc. 2018, 140, 2761-2764.
  17. Balaraman, K.; Wolf, C. Angew. Chem. Int. Ed. 2017, 56, 1390-1395.
  18. Cao, T.; Deitch, J.; Linton, E. C.; Kozlowski, M. C. Angew. Chem. Int. Ed. 2012, 51, 2448-2451.
  19. Kong, W.; Wang, Q.; Zhu, J. Angew. Chem. Int. Ed. 2017, 56, 3987-3991.
  20. White, D. R.; Hutt, J. T.; Wolfe, J. P. J. Am. Chem. Soc. 2015, 137, 11246-11249.
  21. Babu, K. N.; Kinthada, L. K.; Das, P. P.; Bisai, A. Chem. Commun. 2018, 54, 7963-7966.
  22. Doran, R.; Guiry, P. J. J. Org. Chem. 2014, 79, 9112-9124.
  23. Karad, S. N.; Panchal, H.; Clarke, C.; Lewis, W.; Lam, H. W. Angew. Chem. Int. Ed. 2018, 57, 9122-9125.
  24. Ma, S.; Han, X.; Krishnan, S.; Virgil, S. C.; Stoltz, B. M. Angew. Chem. Int. Ed. 2009, 48, 8037-8041.
  25. Mohr, J. T.; Nishimata, T.; Behenna, D. C.; Stoltz, B. M. J. Am. Chem. Soc. 2006, 128, 11348-11349.
  26. Marinescu, S. C.; Nishimata, T.; Mohr, J. T.; Stoltz, B. M. Org. Lett. 2008, 10, 1039-1042.
  27. Kingston, C.; Guiry, P. J. J. Org. Chem. 2017, 82, 3806-3819.
  28. Behenna, D. C.; Stoltz, B. M. J. Am. Chem. Soc. 2004, 126, 15044-15045.
  29. Mohr, J. T.; Behenna, D. C.; Harned, A. M.; Stoltz, B. M. Angew. Chem. Int. Ed. 2005, 44, 6924-6927.
  30. Reeves, C. M.; Eidamshaus, C.; Kim, J.; Stoltz, B. M. Angew. Chem. Int. Ed. 2013, 52, 6718-6721.
  31. Numajiri, Y.; Pritchett, B. P.; Chiyoda, K.; Stoltz, B. M. J. Am. Chem. Soc. 2015, 137, 1040-1043.
  32. Hong, A. Y.; Krout, M. R.; Jensen, T.; Bennett, N. B.; Harned, A. M.; Stoltz, B. M. Angew. Chem. Int. Ed. 2011, 50, 2756-2760.
  33. Behenna, D. C.; Liu, Y.; Yurino, T.; Kim, J.; White, D. E.; Virgil, S. C.; Stoltz, B. M. Nat. Chem. 2012, 4, 130-133.
  34. Numajiri, Y.; Jiménez-Osés, G.; Wang, B.; Houk, K. N.; Stoltz, B. M. Org. Lett. 2015, 17, 1082-1085.
  35. Korch, K. M.; Eidamshaus, C.; Behenna, D. C.; Nam, S.; Horne, D.; Stoltz, B. M. Angew. Chem. Int. Ed. 2015, 54, 179-183.
  36. Marziale, A. N.; Duquette, D. C.; Craig, R. A.; Kim, K. E.; Liniger, M.; Numajiri, Y.; Stoltz, B. M. Adv. Synth. Catal. 2015, 357, 2238-2245.
  37. Alexy, E. J.; Zhang, H.; Stoltz, B. M. J. Am. Chem. Soc. 2018, 140, 10109-10112.
  38. Starkov, P.; Moore, J. T.; Duquette, D. C.; Stoltz, B. M.; Marek, I. J. Am. Chem. Soc. 2017, 139, 9615-9620.
  39. Suetsugu, S.; Nishiguchi, H.; Tsukano, C.; Takemoto, Y. Org. Lett. 2014, 16, 996-999.
  40. Liu, Y.; Liniger, M.; McFadden, R. M.; Roizen, J. L.; Malette, J.; Reeves, C. M.; Behenna, D. C.; Seto, M.; Kim, J.; Mohr, J. T.; Virgil, S. C.; Stoltz, B. M. Beilstein J. Org. Chem. 2014, 10, 2501-2512.
  41. Zhao, R.; Sun, Z.; Mo, M.; Peng, F.; Shao, Z. Org. Lett. 2014, 16, 4178-4181.
  42. Burnley, J.; Wang, Z. J.; Jackson, W. R.; Robinson, A. J. J. Org. Chem. 2017, 82, 8497-8505.
  43. Pritchett, B. P.; Stoltz, B. M. Nat. Prod. Rep. 2018, 35, 559-574.
  44. Mizutani, M.; Yasuda, S.; Mukai, C. Chem. Commun. 2014, 50, 5782-5785.
  45. Gartshore, C. J.; Lupton, D. W. Angew. Chem. Int. Ed. 2013, 52, 4113-4116.
  46. Li, Z.; Zhang, S.; Wu, S.; Shen, X.; Zou, L.; Wang, F.; Li, X.; Peng, F.; Zhang, H.; Shao, Z. Angew. Chem. Int. Ed. 2013, 52, 4117-4121.
  47. Dagoneau, D.; Xu, Z.; Wang, Q.; Zhu, J. Angew. Chem. Int. Ed. 2016, 55, 760-763.
  48. Pritchett, B. P.; Kikuchi, J.; Numajiri, Y.; Stoltz, B. M. Angew. Chem. Int. Ed. 2016, 55, 13529-13532.
  49. Pritchett, B. P.; Donckele, E. J.; Stoltz, B. M. Angew. Chem. Int. Ed. 2017, 56, 12624-12627.
  50. Leng, L.; Zhou, X.; Liao, Q.; Wang, F.; Song, H.; Zhang, D.; Liu, X.-Y.; Qin, Y. Angew. Chem. Int. Ed. 2017, 56, 3703-3707.
  51. Zhang, Z.-W.; Wang, C.-C.; Xue, H.; Dong, Y.; Yang, J.-H.; Liu, S.; Liu, W.-Q.; Li, W.-D. Z. Org. Lett. 2018, 20, 1050-1053.

Alexander W. Sun was born in Eugene, OR in 1990 and obtained his B.A. and M.Sc. in Chemistry in 2012 from the University of Pennsylvania, having worked in the laboratories of Amos B. Smith, III and David R. Tyler. He then matriculated into the UCLA-Caltech MD/PhD program, where he is currently a 5th year Ph.D. candidate in the laboratory of Brian M. Stoltz. His research focuses on asymmetric catalysis and medicinal chemistry.
Brian M. Stoltz was born in Philadelphia, PA in 1970 and obtained his B.S. degree from the Indiana University of Pennsylvania in Indiana, PA. After graduate work at Yale University in the labs of John L. Wood and an NIH postdoctoral fellowship at Harvard with E. J. Corey, he took a position at the California Institute of Technology. A member of the Caltech faculty since 2000, he is currently Professor of Chemistry. His research interests lie in the development of new methodology for general applications in synthetic chemistry.