^
Top
Org. Synth. 2019, 96, 110-123
DOI: 10.15227/orgsyn.096.0110
Discussion Addendum for: Phosphine-Catalyzed [4 + 2] Annulation: Synthesis of Ethyl 6-Phenyl-1-tosyl-1,2,5,6-tetrahydropyridine-3-carboxylate
Aslam C. Shaikh and Ohyun Kwon*1
Original Article: Org. Synth. 2009, 86, 212
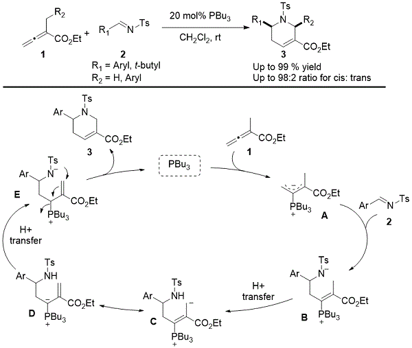
Discussion
There has been remarkable progress in organophosphine-catalyzed reactions,2 especially the processes involving [4C+X] annulations, because of their potential application in building 5-8-membered cyclic products. The phosphine-catalyzed [4 + 2] annulation between 2-alkyl-but-2,3-dienoates and aldimines, first reported by our group in 2003, has become a powerful tool in the construction of substituted tetrahydropyridine derivatives (Scheme 1).3 According to the generally accepted mechanism, nucleophilic addition of tri-n-butylphosphine to the β-position of α-alkyl allenoates results in the formation of a resonance stabilized zwitterionic species A. The nucleophilic addition of the enolate A into N-tosylimine 2 produces sulfonamide B. Through proton transfer, the species B equilibrates with the vinylogous phosphonium ylide C/D. One more proton transfer facilitates the formation of the sulfonamide anion in E, which undergoes conjugate addition to the α, β -enoate, followed by β -elimination of tributylphosphine, resulting in the formation of tetrahydropyridine 3. This Discussion Addendum focuses on new developments of this [4 + 2] annulation-including its asymmetric versions and synthetic utility-since 2003.
v96p0110-2.gif
Scheme 1. Mechanism for α-alkylallenoate-imine [4 + 2] annulation by Kwon
When reacting 2-substituted 2,3-butadienoates and N-tosylimines in the presence of tributylphosphine, Kwon's [4 + 2] annulation proceeds to afford tetrahydropyridines with high efficiency and diastereoselectivity. Specifically, ethyl α -methylallenoate undergoes the [4 + 2] annulation with a variety of N-tosylarylimines to provide tetrahydropyridines, typically in over 90% isolated yields. The allene-imine [4 + 2] annulation is a robust process, with the gram-scale preparation of tetrahydropyridines having been reported.3
While 2-methyl-2,3-butadienoate undergoes efficient [4 + 2] annulations with N-tosylimines, 3-methyl-3,4-pentadienone experiences a surprising cascade event, incorporating two molecules of the imine in the process. For instance, in 2005 Shi presented a rare example for the synthesis of cinnamyl tetrahydropyridyl ketone from 3-methyl-3,4-pentadienone and N-tosylimines in the presence of tributylphosphine (Scheme 2).4 This reaction generated the phosphonium enolate G as the intermediate responsible for incorporating another unit of the imine and affording the corresponding cinnamyl tetrahydropyridyl ketone.
v96p0110-3.gif
Scheme 2. Shi's formation of tetrahydropyridine derivatives
Later in 2012, Ye and co-workers employed saccharin-derived cyclic ketimines in [4 + 2] annulations, allowing rapid access to a variety of functionalized tricyclic tetrahydropyridines in good yields (Scheme 3).5
v96p0110-4.gif
Scheme 3. Ye's synthesis of functionalized polycyclic tetrahydro-pyridines
In 2014, Guo and co-workers identified cyclic sulfamate as the imine component of the phosphine-catalyzed [4 + 2] annulation protocol (Scheme 4).6 The reaction was efficient at producing the tricyclic sulfamate 8 in high yield.
v96p0110-5.gif
Scheme 4. Guo's preparation of functionalized tetrahydropyridines
Enantioselective Allene-Imine [4 + 2] Annulation: A few asymmetric versions of Kwon's allene-imine [4 + 2] annulation have been reported. In 2005, Fu demonstrated an elegant example of the asymmetric [4 + 2] reaction, generating functionalized tetrahydropyridines when employing Gladiali's phosphepine (R)-P1 as the catalyst (Scheme 5).7 The reactions provided tetrasubstituted tetrahydropyridines in almost quantitative yields, with excellent diastereoselectivities and enantioselectivities. A vinylidenesuccinate, namely α -ethoxycarbonylmethylallenoate, was applied to ensure high reactivity and selectivity.
v96p0110-6.gif
Scheme 5. Fu's asymmetric allene-imine [4 + 2] annulations
In 2011, Zhao introduced an amino acid-derived bifunctional N-acyl aminophosphine catalyst P2 for the asymmetric allene-imine [4 + 2] annulation.8 This reaction gave series of chiral tetrahydropyridine derivatives in excellent yields with high enantioselectivities (Scheme 6).
v96p0110-7.gif
Scheme 6. Zhao's enantioselective preparation of tetrahydropyridines
Sasai reported enantioselective synthesis of polycyclic tetrahydropyridines from cyclic sulfonylimines in 2014 (Scheme 7).9 The chiral spiro-phosphepine catalyst (R)-SITCP (P3) promoted enantioselective formal [4 + 2] cycloaddition of saccharin-derived ketimines and ethyl α-methylallenoate. These reactions afforded the tricyclic tetrahydropyridines in good yields and enantiomeric excesses with excellent regioselectivity.
v96p0110-8.gif
Scheme 7. Sasai's asymmetric synthesis of functionalized tricyclic tetrahydropyridines
In the same year, Guo and co-workers demonstrated that enantioenriched cyclic sulfamates were formed when using the amino acid-based bifunctional phosphine P4 as the chiral catalyst (Scheme 8).10 This asymmetric [4 + 2] cycloaddition furnished chiral sulfamate-fused tetrahydropyridines in high yields with excellent enantioselectivities.
v96p0110-9.gif
Scheme 8. Guo's asymmetric synthesis of cyclic sulfamates
Most recently, in 2018 our group reported the catalytic enantioselective synthesis of guvacine derivatives through [4 + 2] annulations of imines with α-methylallenoates.11 A P-chiral [2.2.1] bicyclic phosphine, exo-(p-anisyl)-HypPhos (P5), was applied in reactions between α -alkylallenoates and imines, producing enantioenriched guvacine derivatives (Scheme 9). This method was applied for the synthesis of enantiopure aplexone 10 through a high-yielding Tebbe olefination/hydrolysis sequence. Phenotypic assay of both aplexones with zebrafish embryos revealed that (R)-aplexone was responsible for the decreased cellular levels of cholesterol in zebrafish embryos.
v96p0110-10.gif
Scheme 9. Kwon's catalytic enantioselective synthesis of guvacine derivatives
Application of [4+2] annulation reaction: The potential of the allene-imine [4 + 2] annulation reaction in the total synthesis of natural product was first illustrated in the formal synthesis of (±)-alstonerine (Scheme 10).12 The treatment of diethyl 2-vinylidenesuccinate and the indole imine 11 with catalytic PBu3 afforded the indolytetrahydropyridine 12 in good yield with 3:1 dr. The tetrahydropyridine 12 was then converted to the known intermediate 13 in excellent yield by a sequence of six-step transformations, including Friedel-Crafts acylation, nosyl group deprotection, methylation of the amine, reductive deoxygenation, selective 1,2-reduction of the ethyl ester. Cook and co-workers had previously reported the total synthesis of (-)-alstonerine (14) from the allyl alcohol 13.13,14
v96p0110-11.gif
Scheme 10. Kwon's formal total synthesis of (±)-alstonerine
In 2012, our group applied a similar [4 + 2] annulation of ethyl α-methylallenoate with imine to the total synthesis of (±)-hirsutine (Scheme 11).15 The phosphine-catalyzed [4 + 2] annulation of the crude N-(o-nosyl)imine with ethyl α-methylallenoate afforded tetrahydropyridine in 73% yield over two steps. The formation of tetrahydropyridine in good yield from the crude imine revealed the robustness of this reaction. Subsequent functional group manipulations resulted in the construction of the C-ring and completed the total synthesis of (±)-hirsutine with good efficiency.
v96p0110-12.gif
Scheme 11. Kwon's total synthesis of (±)-hirsutine
Later in 2012, our research group performed a concise preparation of the pentacyclic framework of reserpine (Scheme 12).16 The [4 + 2] annulation between N-(o-nosyl)imine and ethyl α-methylallenoate in the presence of catalytic PBu3 afforded, in good yield, a tetrahydropyridine intermediate having A-, B-, and D-rings of reserpine. Further construction of the C-ring in two steps from a key intermediate, and subsequent 6π-electrocyclization to form the E-ring, provided the reserpine's pentacyclic scaffold 16.
v96p0110-13.gif
Scheme 12. Kwon's access to the skeletal framework of reserpine
In 2007, our research group reported the first example of phosphine catalysis using polystyrene-bound allenoates for the preparation of a combinatorial library and the identification of potent inhibitors of protein geranylgeranyltransferase type I (GGTase-I) and Rab geranylgeranyltransferase as potential anticancer therapeutics.17,18,19
Using SynPhase lanterns grafted with Wang resin, allenoic acids were coupled to the benzyl alcohol units of the Wang linker to install resin-bound allenoates 17 (Scheme 13). Through the split-and-pool strategy, extensive arrays of allenoic acid, imine, and thiol building blocks were incorporated, leading to the production of 4288 compounds, including a vast variety of functionalized tetrahydropyridines, pyrrolines, pyrrolidines, and piperidines. In vitro assays revealed that the pyrroline 18 and the tetrahydropyridine 19 both displayed submicromolar IC50 values against GGTase-I.
v96p0110-14.gif
Scheme 13. Kwon's phosphine-catalyzed synthesis of GGTase-I inhibitor libraries
A derivative of the pyrroline 18 displayed in vivo efficacy against solid pancreatic tumor and lung cancer models in mice, hinting at the possibility of developing novel anticancer therapeutic leads.20,21
Phosphine catalysis of imines and allenoates produces pyrrolines and tetrahydropyridines that possess the α, β -unsaturated carboxylic ester functional group, which can be transformed into multicyclic scaffolds. In 2011, our group disclosed the diversity-oriented synthesis of a chemical library comprising 91 polyheterocyclic compounds with 16 distinct scaffolds (Scheme 14).22,23 The α, β -enoate units contained within pyrrolines and tetrahydropyridines were converted to the corresponding dienol ethers through Tebbe olefination, and subsequently underwent Diels-Alder reactions with various dienophiles, providing densely functionalized polyheterocyclic compounds. Delightfully, compound 20-22 displayed subtoxic antimigratory activity against MDA-MB-231 human breast cancer cells.
v96p0110-15.gif
Scheme 14. Kwon's diversity-oriented synthesis of a polyheterocyclic compound library
Taking advantage of the facile preparation of the Wang resin-bound tetrahydropyridines, a library of octahydro-1,6-naphthyridin-4-ones was built through split-pool synthesis on a solid phase.24,25 Again, allenoic acids were coupled to the Wang resin, followed by [4 + 2] annulations with imines in the presence of tributylphosphine (Scheme 15).
v96p0110-16.gif
Scheme 15. Kwon's formation of octahydro-1,6-naphthyridin-4-ones
The resulting tetrahydropyridine carboxylate esters 23 were treated with Tebbe reagent and then subjected to Diels-Alder reactions with imines. Notably, the same imine building blocks were used in both the phosphine catalysis and the Diels-Alder reactions. Highly diastereoselective hydrolysis of the octahydronaphthyridines 24 occurred upon simple treatment with trifluoroacetic acid (TFA), releasing the naphthyridinones 25.
Among the 96 naphthyridinones, five distinctive octahydro-1,6-naphthyridin-4-ones 26-30 displayed excellent activation of endothelial cell triggered induction of innate immune response (Scheme 16). These studies illustrate the potential utility of the products of phosphine catalysis. The ready translation of the original phosphine-catalyzed reactions from solution to the solid phase enables the facile preparation of analogues through split-and-pool combinatorial synthesis-α crucial aspect of modern chemical biology.
v96p0110-16.gif
Scheme 16. Kwon's immunoactivating octahydro-1,6- naphthyridin-4-ones
Several advances in enhancing the utility of the [4 + 2] annulations have been realized in recent years. These reactions have proved to be generally efficient in many varied settings, including in solid-phase and under the influence of chiral phosphines. Because a tetrahydropyridine core appears in countless natural products and bio-active molecules, we anticipate that these [4 + 2] annulations between allene and imine will continue to find use in valuable product syntheses, especially those for which mild conditions, robust efficiency, and high selectivity are paramount.

References and Notes
  1. Department of Chemistry and Biochemistry, University of California, Los Angeles, California 90095-1569, United States. E-mail: ohyun@chem.ucla.edu. Our research program is supported by the NIH (R01GM071779).
  2. Guo, H.; Fan, Y. C.; Sun, Z.; Wu, Y.; Kwon, O. Chem. Rev., 2018, 118, 10049-10293.
  3. Zhu, X.-F.; Lan, J.; Kwon, O. J. Am. Chem. Soc. 2003, 125, 4716-4717.
  4. Zhao, G.-L.; Shi, M. Org. Biomol. Chem. 2005, 3, 3686-3694.
  5. Chen, X.-Y.; Ye, S. Eur. J. Org. Chem. 2012, 2012, 5723-5728.
  6. Yu, H.; Zhang, L.; Li, Z.; Liu, H.; Wang, B.; Xiao, Y.; Guo, H. Tetrahedron 2014, 70, 340-348.
  7. Wurz, R. P.; Fu, G. C. J. Am. Chem. Soc. 2005, 127, 12234-12235.
  8. Xiao, H.; Chai, Z.; Wang, H.-F.; Wang, X.-W.; Cao, D.-D.; Liu, W.; Lu, Y.-P.; Yang, Y.-Q.; Zhao, G. Chem. - Eur. J. 2011, 17, 10562-10565.
  9. Takizawa, S.; Arteaga, F. A.; Yoshida, Y.; Suzuki, M.; Sasai, H. Asian J. Org. Chem. 2014, 3, 412-415.
  10. Yu, H.; Zhang, L.; Li, Z.; Liu, H.; Wang, B.; Xiao, Y.; Guo, H. Tetrahedron 2014, 70, 340-348.
  11. Xu, Q.; Dupper, N. J.; Smaligo, A. J.; Fan, Y. C.; Cai, L.; Wang, Z.; Langenbacher, A. D.; Chen, J.-N.; Kwon, O. Org. Lett. 2018, 20, 6089-6093.
  12. Tran, Y. S.; Kwon, O. Org. Lett. 2005, 7, 4289-4291.
  13. Bi, Y.; Zhang, L.-H.; Hamaker, L.K.; Cook, J. M. J. Am. Chem. Soc. 1994, 116, 9027-9041.
  14. Zhang, L.H.; Cook, J. M. J. Am. Chem. Soc. 1990, 112, 4088-4090.
  15. Villa, R. A.; Xu, Q.; Kwon, O. Org. Lett. 2012, 14, 4634-4637.
  16. Barcan, G. A.; Patel, A.; Houk, K. N.; Kwon, O. Org. Lett. 2012, 14, 5388-5391.
  17. Castellano, S.; Fiji, H. D. G.; Kinderman, S. S.; Watanabe, M.; de Leon, P.; Tamanoi, F.; Kwon, O. J. Am. Chem. Soc. 2007, 129, 5843-5845.
  18. Watanabe, M.; Fiji, H. D. G.; Guo, L.; Umetsu, A.; Kinderman, S. S.; Slamon, D. J.; Kwon, O.; Tamanoi, F. J. Biol. Chem. 2008, 283, 9571-9579.
  19. Chan, L. N.; Fiji, H. D. G.; Watanabe, M.; Kwon, O.; Tamanoi, F. PloS ONE, 2011, 6, e26135.
  20. Lu, J.; Chan, L.; Fiji, H. D. G.; Dahl, R.; Kwon, O.; Tamanoi, F. Mol. Cancer Ther. 2009, 8, 1218-1226.
  21. Zimonjic, D. B.; Chan, L. N.; Tripathi, V.; Lu, J.; Kwon, O.; Popescu, N. C.; Lowy, D. R.; Tamanoi, F. BMC Cancer 2013, 13, 198.
  22. Wang, Z.; Castellano, S.; Kinderman, S. S.; Argueta, C. E.; Beshir, A. B.; Fenteany, G.; Kwon, O. Chem. -Eur. J. 2011, 17, 649-654.
  23. Florian, A. E.; Lepensky, C. K.; Kwon, O.; Haynes, M. K.; Sklar, L. A.; Zweifach, A. J. Biomol. Screening 2013, 18, 420-429.
  24. Cruz, D.; Wang, Z.; Kibbie, J. J.; Modlin, R. L.; Kwon, O. Proc. Natl. Acad. Sci. U.S.A. 2011, 108, 6769-6774.
  25. Kibbie, J. J.; Teles, R. M. B.; Wang, Z.; Hong, P.; Montoya, D.; Krutzik, S.; Lee, S.; Kwon, O.; Modlin, R. L.; Cruz, D. PloS Pathog. 2016, 12, e1005808.

Ohyun Kwon, Professor of Chemistry and Biochemistry at UCLA, received her B.S. and M.S. degrees from Seoul National University in 1991 and 1993, respectively. After obtaining her Ph.D. from Columbia University in 1998, and a postdoctoral stint at Harvard University, Kwon began her independent career at UCLA in 2001. Her research involves the development of phosphine-catalyzed reactions and their application to natural product synthesis and chemical biology. She has played key roles in establishing phosphinocatalysis as one of the main areas of organocatalysis, and is recognized as one of the leaders in the field.
Aslam C Shaikh was born in 1989 in Ahmednagar (Maharashtra), India. He completed his M.Sc. (2012) in Chemistry from HPT Arts and RYK Science College in Nashik. In 2013, he joined CSIR-National Chemical Laboratory, Pune as a research assistant for Dr. Muthukrishnan. He obtained his Ph.D. from CSIR-NCL, Pune in 2018, under the mentorship of Prof. Nitin T. Patil having studied the synthesis of organic fluorophore through metal-catalyzed difunctionalization of C-C multiple bonds. He is currently a Postdoctoral Associate with Prof. Ohyun Kwon at University of California, Los Angeles, and developing new phosphine catalyst for asymmetric transformation.